网站首页
关于我们
公司简介
发展历程
企业文化
企业荣誉
产品中心
心脑血管系统用药系列
神经系统用药系列
消化系统用药系列
呼吸系统用药系列
抗感染药系列
其他系列
大输液系列
华宝通系列
原料药系列
研究开发
院士专家工作站
医研企联盟
新闻资讯
综合新闻
党群动态
员工活动
人力资源
人才战略
公司招聘
联系我们
English
所属分类:
产品附件:
产品描述
分子式:C21H30BrNO4
CAS号:149-64-4
产品类型:消化系统及代谢类
包装规格:25公斤/桶
产品标准:CP
相关产品
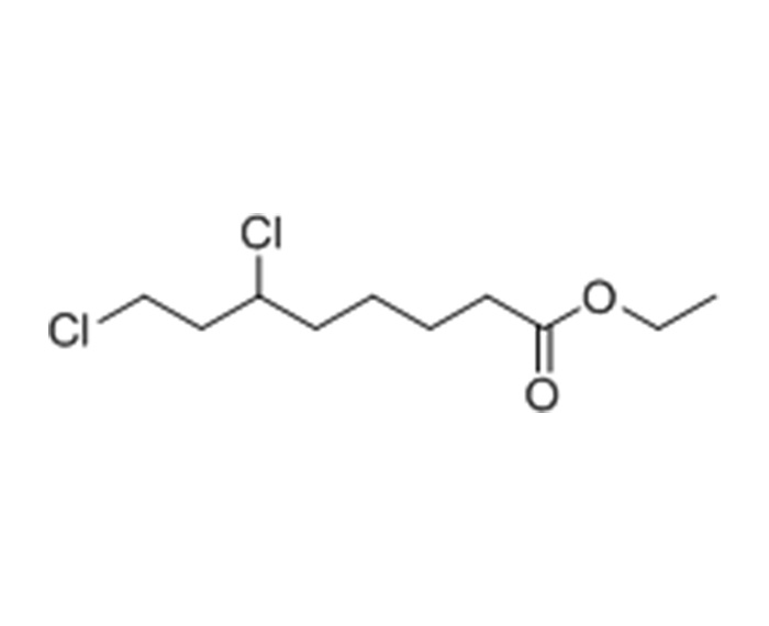
6,8-二氯辛酸乙酯
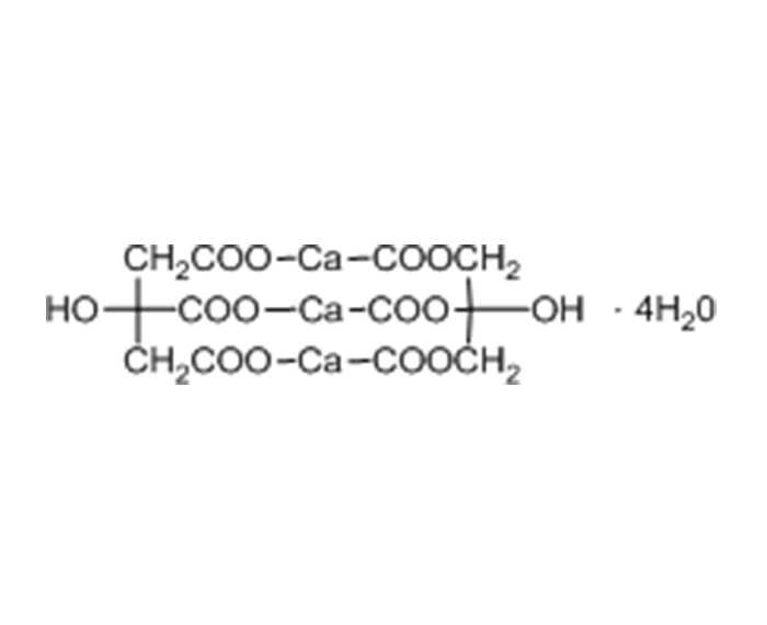
枸橼酸钙
盐酸去氯羟嗪
水飞蓟宾葡甲胺
留言反馈